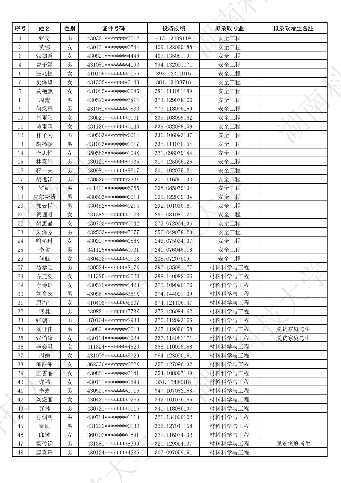
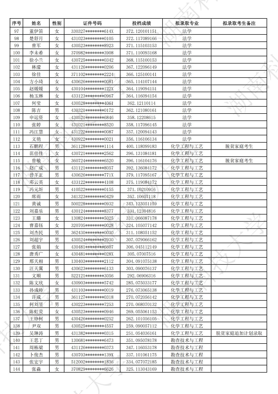
2025年湖南科技大學專升本普通類考生擬錄取名單公示,根據湖南省教育廳《關于做好2025年湖南省普通高等學校專升本考試招生工作的通知》(湘教發〔2024〕54號)和《湖南科技大學2025年專升本招生章程》相關規定,我校組織了2025年專升本普通類考生測試,并將擬錄取結果上報湖南省教育考試院,經省教育考試院審核通過,現將專升本普通類考生擬錄取名單予以公示。




公示日期:2025年5月27日-6月2日
招考辦:0731-58290217
招生辦:0731-58290670
紀委辦:0731-58291312
如有異議,請在公示期內聯系我校。
湖南科技大學招生辦公室
2025年5月27日
以上就是關于“2025年湖南科技大學專升本普通類考生擬錄取名單公示”的全部內容,考生如果想獲得更多關于常見問題、相關資訊,如考試動態、招生簡章、統考動態、湖南專升本院校、歷年真題、考試大綱、專升本等相關信息,敬請關注湖南專升本網(http://m.qrong.cn/)!

湖南專升本聲明
(一)由于考試政策等各方面情況的不斷調整與變化,本網站所提供的考試信息僅供參考,請以權威部門公布的正式信息為準。
(二)本網站在文章內容來源出處標注為其他平臺的稿件均為轉載稿,免費轉載出于非商業性學習目的,版權歸原作者所有。如您對內容、版權等問題存在異議請于我們聯系,我們會及時處理。
文章來源于網絡,如有侵權,請聯系刪除

福利領取
成考報名
國開報名
教師資格證
專升本報名
自考報名



