關于2025年湖南理工學院南湖學院專升本招生考試成績復核結果的公告

各位考生:
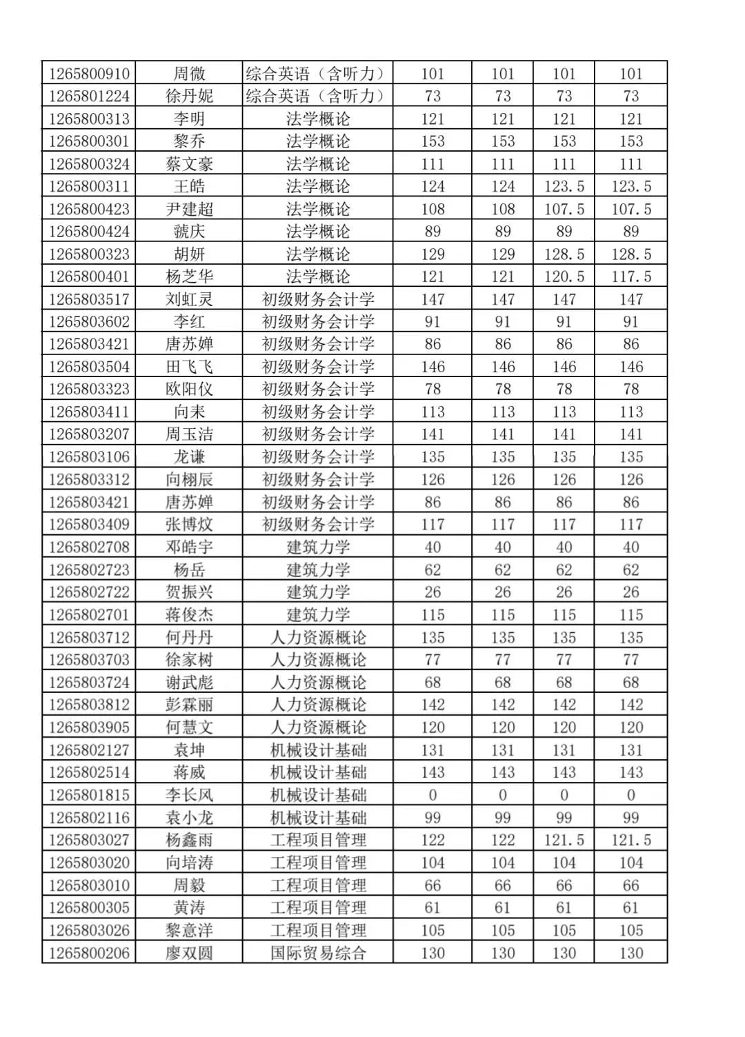
2025年專升本招生考試成績復核工作現已結束,經湖南省教育考試院和湖南理工學院南湖學院按照有關規定依照程序進行復核,所有考生復核成績如下。



展開全文
—— 沒找你想要的專升本資訊?預約免費咨詢 ——
你的姓名
*聯系方式
就讀年級
就讀專業
立即預約
以上就是關于“關于2025年湖南理工學院南湖學院專升本招生考試成績復核結果的公告”的全部內容,考生如果想獲得更多關于常見問題、相關資訊,如考試動態、招生簡章、統考動態、湖南專升本院校、歷年真題、考試大綱、專升本等相關信息,敬請關注湖南專升本網(http://m.qrong.cn/)!

湖南專升本聲明
(一)由于考試政策等各方面情況的不斷調整與變化,本網站所提供的考試信息僅供參考,請以權威部門公布的正式信息為準。
(二)本網站在文章內容來源出處標注為其他平臺的稿件均為轉載稿,免費轉載出于非商業性學習目的,版權歸原作者所有。如您對內容、版權等問題存在異議請于我們聯系,我們會及時處理。
文章來源于網絡,如有侵權,請聯系刪除

福利領取
成考報名
國開報名
教師資格證
專升本報名
自考報名



