懷化學院是2023年湖南專升本招生院校之一,懷化學院其中部分專業考試大綱會公布試卷的模擬題,進行題型舉例,2022年懷化學院專升本高等數學科目模擬試卷如下。
點擊查看:2022年懷化學院專升本考試大綱!
點擊加入:2023年湖南專升本考生交流群,和其他考生一起學習吧!
點擊進入:2023年湖南統招專升本報名指導入口
真題怎么找:22年專升本真題正在持續整理中,大家可以關注【湖南專升本之家】微信公眾號,了解湖南專升本的相關資訊,避免漏掉重要信息?;貜汀緜淇级Y包】免費領公眾號真題資料(公共課+專業課)!
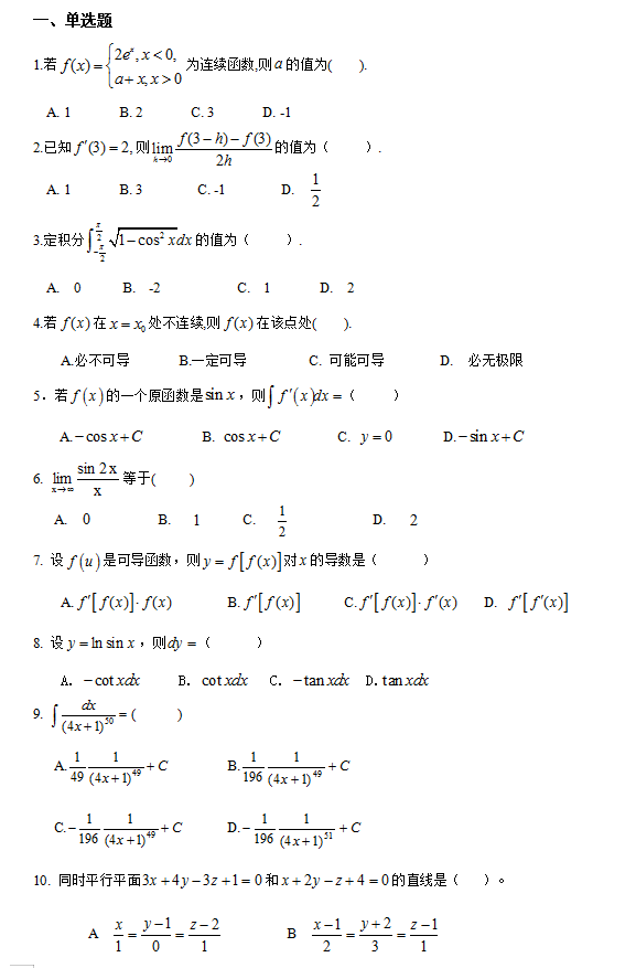
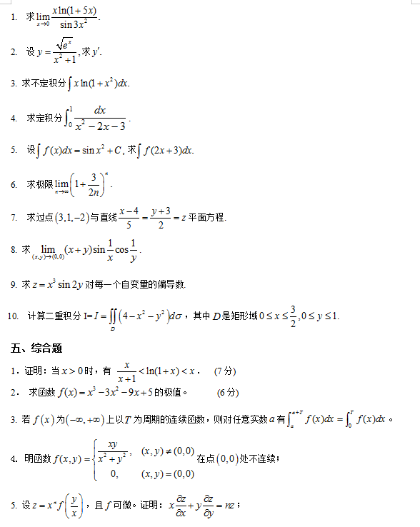
懷化學院2022年專升本高等數學模擬試卷



以上就是湖南專升本網給大家推送的2022年懷化學院專升本高等數學模擬試卷~各位考生可加入【湖南專升本考生交流群】與同學們一起交流,或【在線咨詢老師】與專業的報名指導老師開展一對一交流,幫助考生攻克基礎知識薄弱、攻堅考試重點難點等困難,得到專屬于自己的解答。敬請關注我們吧!

湖南專升本聲明
(一)由于考試政策等各方面情況的不斷調整與變化,本網站所提供的考試信息僅供參考,請以權威部門公布的正式信息為準。
(二)本網站在文章內容來源出處標注為其他平臺的稿件均為轉載稿,免費轉載出于非商業性學習目的,版權歸原作者所有。如您對內容、版權等問題存在異議請于我們聯系,我們會及時處理。
文章來源于網絡,如有侵權,請聯系刪除

福利領取
成考報名
國開報名
教師資格證
專升本報名
自考報名



