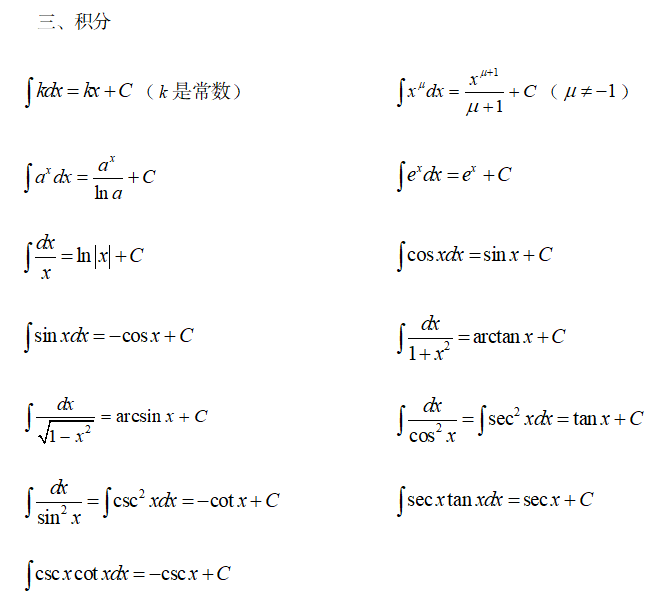
隨著大家對湖南專升本的重視越來越高,作為理工類、經管類的同學需要考數學。如果數學未學好,可能會影響自身對于專業的選擇。數學邏輯性復雜且相對于其他學科要求較高,這也就導致了部分專升本的小伙伴對于該門課的選擇是比較猶豫的,特別是對于無基礎的或者基礎不扎實的小伙伴來說是比較困難的,接下來主要給大家介紹一下數學常考的公式,公式作為我們數學學習中的指路明燈,是必須要掌握的。
點擊加入:2023年湖南專升本考生交流群,和其他考生一起學習吧!
點擊進入:2023年湖南統招專升本報名指導入口
真題怎么找:22年專升本真題正在持續整理中,大家可以關注【湖南專升本之家】微信公眾號,了解湖南專升本的相關資訊,避免漏掉重要信息。回復【備考禮包】免費領公眾號真題資料(公共課+專業課)!


以上是數學里面最最基本的一些公式,大家先背會,會直接利用公式做出一些簡單的題目,然后結合的自己的理解,運用整體換元這一思想以及加上相應的知識點需要滿足的條件,可以做一些綜合性比較高的題目。整體來說,數學這門學科就是知道公式怎么使用,怎么套,然后訓練自己的計算能力。大家快快背公式吧!
以上就是湖南專升本網給大家推送的湖南專升本高等數學常考的公式匯總~各位考生可加入【湖南專升本考生交流群】與同學們一起交流,或【在線咨詢老師】與專業的報名指導老師開展一對一交流,幫助考生攻克基礎知識薄弱、攻堅考試重點難點等困難,得到專屬于自己的解答。敬請關注我們吧!

湖南專升本聲明
(一)由于考試政策等各方面情況的不斷調整與變化,本網站所提供的考試信息僅供參考,請以權威部門公布的正式信息為準。
(二)本網站在文章內容來源出處標注為其他平臺的稿件均為轉載稿,免費轉載出于非商業性學習目的,版權歸原作者所有。如您對內容、版權等問題存在異議請于我們聯系,我們會及時處理。
文章來源于網絡,如有侵權,請聯系刪除

福利領取
成考報名
國開報名
教師資格證
專升本報名
自考報名



